Solusi OSK Matematika SMA Tahun 2019


          Blog Koma - Hallow sahabat koma, bagaimana kabarnya hari ini? Semoga baik-baik saja ya. Pada artikel ini kita akan membahas Solusi OSK Matematika SMA Tahun 2019 sebagai pendukung dan menambah wawasan pemahaman berbagai variasi soal-soal olimpiade matematika tingkat SMA khususnya soal-soal OSN-K. Dengan berlatih secara rutin dan giat dalam mempelajari Soal dan Solusi OSK Matematika SMA Tahun 2019 yang ada, tentu sahabat koma akan lebih siap dalam menghadapi olimpiade atau kompetisi matematika yang ada. Semangat terus untuk berlatih. Jika ada masukan atau ide atau cara lain mengenai Solusi OSK Matematika SMA Tahun 2019 ini, mohon untuk dishare ke admin ya, biar terus ada perbaikan dan peningkatan dari isi artikel yang ada di blog koma.


Soal-soal dengan Solusi Singkat

1). Pak Budi memiliki sawah berbentuk huruf L. Jika diketahui bahwa sawah Pak Budi hanya memiliki sisi yang panjangnya 5 meter dan 10 meter dan semua sudut sawahnya siku-siku, luas sawah Pak Budi adalah ... meter persegi.


Solusi by : Les Privat Cermat (LPC)
Solusi Soal OSK Matematika SMA tahun 2019 nomor 1
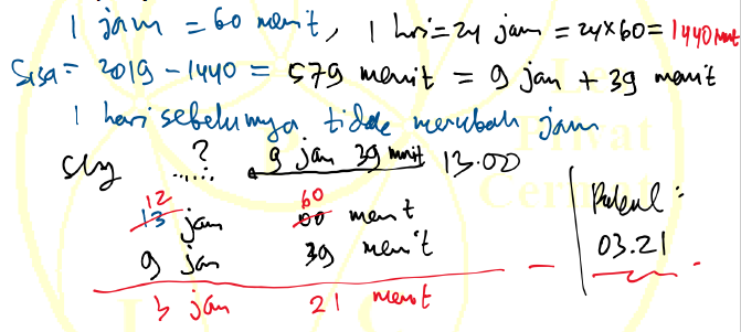
2). Jika sebuah jam sekarang menunjukkan pukul 13:00 maka 2019 menit yang lalu jam tersebut menunjukkan pukul ...?


Solusi by : Les Privat Cermat (LPC)
Solusi Soal OSK Matematika SMA tahun 2019 nomor 2
3). Kedua akar persamaan kuadrat $x^2 - 111x + k = 0$ adalah bilangan prima. Nilai $k$ adalah ...?


Solusi by : Les Privat Cermat (LPC)
Solusi Soal OSK Matematika SMA tahun 2019 nomor 3
4). Ani dan Banu bermain dadu enam sisi. Jika dadu yang keluar bernilai genap, maka Ani mendapatkan skor 1 sedangkan jika dadu yang keluar bernilai ganjil, maka Banu yang mendapatkan skor 1. Pemenang dari permainan ini adalah orang pertama yang mendapatkan skor total 5. Setelah dilakukan pelemparan dadu sebanyak 5 kali, Ani mendapat skor 4 dan Banu mendapatkan skor 1. Peluang Ani memenangkan permainan ini adalah ...?


Solusi by : Les Privat Cermat (LPC)
Solusi Soal OSK Matematika SMA tahun 2019 nomor 4
5). Diketahui $a+2b = 1$, $b+2c = 2$, dan $b \neq 0$. Jika $a+nb+2018c = 2019$, maka nilai $n$ adalah ...?


Solusi by : Les Privat Cermat (LPC)
Solusi Soal OSK Matematika SMA tahun 2019 nomor 5
6). Misalkan $a = 2 \sqrt{2}- \sqrt{8-4 \sqrt{2}} $ dan $b = 2 \sqrt{2} + \sqrt{8-4 \sqrt{2}}$ . Jika $\frac{a}{b} + \frac{b}{a} = x + y \sqrt{2}$ dengan $x$, $y$ bulat, maka nilai $x + y$ adalah ...?


Solusi by : Les Privat Cermat (LPC)
Solusi Soal OSK Matematika SMA tahun 2019 nomor 6
7). Diberikan suatu trapesium ABCD dengan AB sejajar CD. Misalkan titik P dan Q berturut-turut pada AD dan BC sedemikian sehingga PQ sejajar AB dan membagi trapesium menjadi dua bagian yang sama luasnya. Jika AB = 17 dan DC = 7 maka nilai PQ adalah ...?


Solusi by : Les Privat Cermat (LPC)
Solusi Soal OSK Matematika SMA tahun 2019 nomor 7
8). Tujuh buah bendera dengan motif berbeda akan dipasang pada 4 tiang bendera. Pada masing-masing tiang bendera bisa dipasang sebanyak nol, satu, atau lebih dari satu bendera. Banyaknya cara memasang bendera tersebut adalah ...?


Solusi by : Les Privat Cermat (LPC)
Solusi Soal OSK Matematika SMA tahun 2019 nomor 8
9). Misalkan $n$ adalah bilangan asli terkecil yang semua digitnya sama dan sedikitnya terdiri dari 2019 digit. Jika $n$ habis dibagi 126, maka hasil penjumlahan semua digit dari $n$ adalah ...?


Solusi by : Les Privat Cermat (LPC)
Solusi Soal OSK Matematika SMA tahun 2019 nomor 9
10). Untuk sebarang bilangan real $x$, simbol $\lfloor x \rfloor$ menyatakan bilangan bulat terbesar yang tidak lebih besar daripada $x$, sedangkan $\lceil x \rceil$ menyatakan bilangan bulat terkecil yang tidak lebih kedil dibandingkan $x$. Interval $[a, \, b)$ adalah himpunan semua bilangan real $x$ yang memenuhi
$\, \, \, \, \, \, \, \lfloor 2x \rfloor ^2 = \lceil x \rceil + 7$.
Nilai $a.b$ adalah ...?


Solusi by : Les Privat Cermat (LPC)
Solusi Soal OSK Matematika SMA tahun 2019 nomor 10
11). Sisa pembagian $1111^{2019}$ oleh 11111 adalah ...?


Solusi by : Les Privat Cermat (LPC)
Solusi Soal OSK Matematika SMA tahun 2019 nomor 11
12). Diberikan segitiga ABC dengan D pertengahan AC, E pertengahan BD, dan H merupakan pencerminan dari A terhadap E. Jika F perpotongan antara AH dengan BC, maka nilai $\frac{AF}{FH}$ sama dengan ...?


Solusi by : Les Privat Cermat (LPC)
Solusi Soal OSK Matematika SMA tahun 2019 nomor 12
13). Banyaknya bilangan delapan digit yang setiap digitnya adalah 1 atau 2 tepati tidak memuat tidak digit 1 berurutan adalah ...?


Solusi by : Les Privat Cermat (LPC)
Solusi Soal OSK Matematika SMA tahun 2019 nomor 13
14). Misalkan $f(x) = 1 + \frac{90}{x}$. Nilai terbesar $x$ yang memenuhi $\underbrace{f \left( f \left( ...\left( f(x) \right) ... \right) \right) }_{\text{2019 kali}} = x$ adalah ...?


Solusi by : Les Privat Cermat (LPC)
Solusi Soal OSK Matematika SMA tahun 2019 nomor 14
15). Misalkan ABCD adalah persegi dengan panjang sisi 4. Lingkaran-lingkaran $x$, $y$, $z$ dengan jari-jari sama mempunyai pusat di dalam persegi sedemikian sehingga lingkaran $x$ menyinggung sisi AB dan AD, lingkaran $y$ menyinggung sisi AB dan BC, serta lingkaran $z$ menyinggung sisi DC, lingkaran $x$, dan lingkaran $y$. Diketahui jari-jari lingkaran $x$ dapat dinyatakan dengan $n - \sqrt{m}$ dengan $m$ dan $n$ bilangan bulat positif. Nilai $m$ adalah ...?


Solusi by : Les Privat Cermat (LPC)
Solusi Soal OSK Matematika SMA tahun 2019 nomor 15
16). Semua bilangan bulat $n$ sehingga $n^4+16n^3+71n^2+56n$ merupakan bilangan kuadrat tak nol adalah ...?


Solusi by : Les Privat Cermat (LPC)
Solusi Soal OSK Matematika SMA tahun 2019 nomor 16
17). Diberikan jajargenjang ABCD, dengan $\angle ABC = 105^o$. Titik M berada di dalam jajargenjang sehingga segitiga BMC sama sisi dan $\angle CMD = 135^o$. Jika K pertengahan sisi AB, maka besarnya $\angle BKC$ sama dengan ... derajat.


Solusi by : Les Privat Cermat (LPC)
Solusi Soal OSK Matematika SMA tahun 2019 nomor 17
18). Bilangan real terbesar M sehingga untuk setiap $x$ positif berlaku
$\, \, \, \, \, (x+1)(x+3)(x+5)(x+11) \geq Mx$
adalah ...?


Solusi by : Les Privat Cermat (LPC)
Solusi Soal OSK Matematika SMA tahun 2019 nomor 18
19). Banyaknya tripel bilangan bulat $(m, \, n, \, p)$ dengan $p$ prima yang memenuhi
$\, \, \, \, \, p^2 n^2 - 3mn = 21p - m^2 $
adalah ...?


Solusi by : Les Privat Cermat (LPC)
Solusi Soal OSK Matematika SMA tahun 2019 nomor 19
20). Suatu lomba matematika diikuti oleh 2019 peserta. Untuk setiap dua peserta lomba, keduanya saling mengenal atau saling tidak mengenal. Diketahui bahwa tidak ada tiga orang peserta lomba yang ketiganya saling mengenal satu sama lain. Misalkan $m$ adalah bilangan asli sehingga:

(i). masing-masing peserta mengenal paling banyak $m$ peserta lainnya.
(ii). untuk seteiap bilangan asli $k$ dengan $1 \leq k \leq m$, minimal terdapat satu orang peserta yang mengenal tepat $k$ peserta lainnya.

Nilai $m$ terbesar yang mungkin adalah ...?


Solusi by : Les Privat Cermat (LPC)
Solusi Soal OSK Matematika SMA tahun 2019 nomor 20


Kembali ke Daftar Isi Olimpiade Matik SMA

Kembali ke Solusi Singkat Olim Matik SD-SMP-SMA

       Demikian artikel Solusi OSK Matematika SMA Tahun 2019 ini. Silahkan juga baca materi lain yang berkaitan dengan materi ini. Setiap artikel akan diupdate secara bertahap. Semoga bermanfaat. Terimakasih.