Blog Koma  -  Hallow sahabat koma, bagaimana kabarnya hari ini? Semoga baik-baik saja ya. 
Pada artikel ini kita akan membahas Solusi Singkat Soal OSK 2019 Bagian III Olim SD sebagai pendukung dan menambah wawasan pemahaman 
berbagai variasi soal-soal olimpiade matematika tingkat SD. Dengan berlatih secara rutin dan giat dalam mempelajari 
Soal dan Solusi Soal OSK-OSP-OSN Olim Matik SD yang ada, tentu sahabat koma akan lebih siap dalam menghadapi olimpiade atau kompetisi 
matematika yang ada.   Semangat terus untuk berlatih. Jika ada masukan atau ide atau cara lain mengenai 
Solusi Singkat Soal OSK 2019 Bagian III Olim SD ini, mohon untuk dishare ke admin ya, biar terus ada perbaikan dan peningkatan 
dari isi artikel yang ada di blog koma. 
 
1). Perhatikan gambar trapesium berikut ini!
  
      
  
Keliling gambar trapesium di atas adalah ... cm
 
2). Nilai $1 + 2 - 3 - 4 + 5 + 6 - 7 - 8 + 9 - ... - 2016 + 2017 + 2018 - 2019 = ... $
3). Sebuah bak berkapasitas 150.000 cc diisi air dengan debit 12 liter/menit selama 3 menit, kemudian dihentikan. Apabila pengisian bak tersebut dilanjutkan dengan debit pengisian 6 liter/menit, maka berapa menit lagi bak tersebut akan penuh?
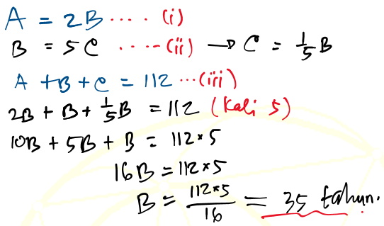
4). Umur pak Arman sama dengan dua kali umur pak Burhan. Umur pak Burhan sama dengan lima kali umur dik Candra. Jumlah umur ketiganya adalah 112 tahun. Umur pak Burhan adalah ... tahun.
5). Tiga buah persegi berbeda ukuran tersusun seperti pada gambar di samping. Apabila jarak antar persegi adalah 4 cm dan keliling persegi terbesar adalah 96 cm, maka keliling persegi terkecil adalah ... cm.
  
  
 
    
 
1). Perhatikan gambar trapesium berikut ini!
  
      
  
Keliling gambar trapesium di atas adalah ... cm
2). Nilai $1 + 2 - 3 - 4 + 5 + 6 - 7 - 8 + 9 -  ... - 2016 + 2017 + 2018 - 2019 = ... $ 
3). Sebuah bak berkapasitas 150.000 cc diisi air dengan debit 12 liter/menit selama 3 menit, kemudian dihentikan. Apabila pengisian bak 
tersebut dilanjutkan dengan debit pengisian 6 liter/menit, maka berapa menit lagi bak tersebut akan penuh? 
4). Umur pak Arman sama dengan dua kali umur pak Burhan. Umur pak Burhan sama dengan lima kali umur dik Candra. Jumlah umur ketiganya adalah 112 
tahun. Umur pak Burhan adalah ... tahun. 
5). Tiga buah persegi berbeda ukuran tersusun seperti pada gambar di samping. Apabila jarak antar persegi adalah 4 cm dan keliling persegi 
terbesar adalah 96 cm, maka keliling persegi terkecil adalah ... cm. 
 
Kembali ke Daftar Isi Olimpiade Matik SD
 
Kembali ke Solusi Singkat Olim Matik SD-SMP-SMA
Demikian artikel Solusi Singkat Soal OSK 2019 Bagian III Olim SD ini. Silahkan juga baca materi lain yang berkaitan dengan materi ini. Setiap artikel akan diupdate secara bertahap. Jika ada kritik dan saran, atau koreksi dari isi artikel di halaman ini, mohon bantuannya untuk menuliskannya di kolom komentar di bagian bawah setiap artikel. Ini sangat membantu untuk memperbaiki kualitas dari artikel di blog koma. Semoga bermanfaat. Terimakasih.
Soal-soal Tanpa Solusi
 1). Perhatikan gambar trapesium berikut ini!
      
  Keliling gambar trapesium di atas adalah ... cm
2). Nilai $1 + 2 - 3 - 4 + 5 + 6 - 7 - 8 + 9 - ... - 2016 + 2017 + 2018 - 2019 = ... $
3). Sebuah bak berkapasitas 150.000 cc diisi air dengan debit 12 liter/menit selama 3 menit, kemudian dihentikan. Apabila pengisian bak tersebut dilanjutkan dengan debit pengisian 6 liter/menit, maka berapa menit lagi bak tersebut akan penuh?
4). Umur pak Arman sama dengan dua kali umur pak Burhan. Umur pak Burhan sama dengan lima kali umur dik Candra. Jumlah umur ketiganya adalah 112 tahun. Umur pak Burhan adalah ... tahun.
5). Tiga buah persegi berbeda ukuran tersusun seperti pada gambar di samping. Apabila jarak antar persegi adalah 4 cm dan keliling persegi terbesar adalah 96 cm, maka keliling persegi terkecil adalah ... cm.
  
  
Soal-soal dengan Solusi Singkat
 1). Perhatikan gambar trapesium berikut ini!
      
  Keliling gambar trapesium di atas adalah ... cm
Kembali ke Daftar Isi Olimpiade Matik SD
Kembali ke Solusi Singkat Olim Matik SD-SMP-SMA
Demikian artikel Solusi Singkat Soal OSK 2019 Bagian III Olim SD ini. Silahkan juga baca materi lain yang berkaitan dengan materi ini. Setiap artikel akan diupdate secara bertahap. Jika ada kritik dan saran, atau koreksi dari isi artikel di halaman ini, mohon bantuannya untuk menuliskannya di kolom komentar di bagian bawah setiap artikel. Ini sangat membantu untuk memperbaiki kualitas dari artikel di blog koma. Semoga bermanfaat. Terimakasih.

  
 
 
 
  
